30 Mar 2025 - me :3
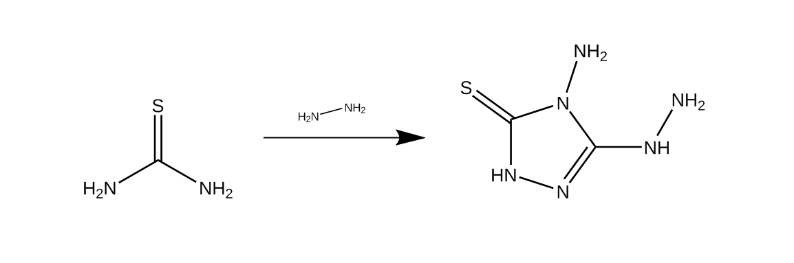
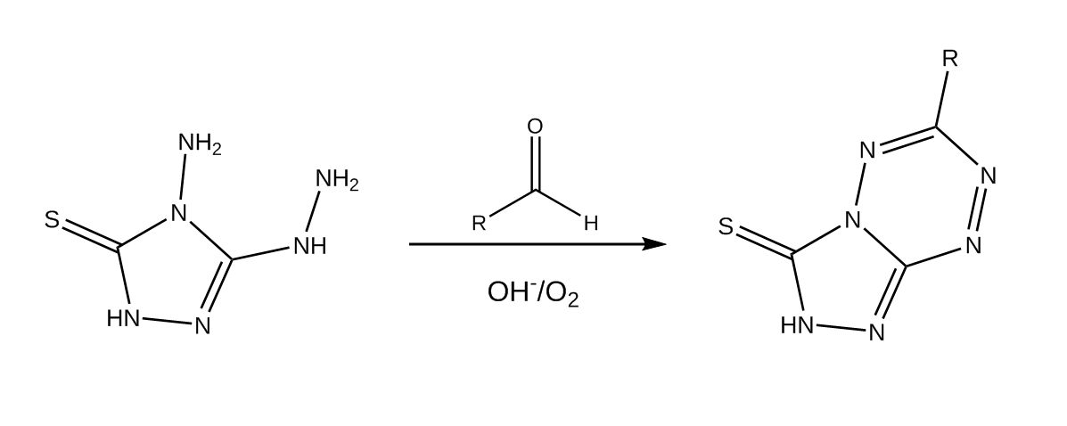
4-amino-3-hydrazine-5-mercapto-1,2,4-triazole (Purpald) is an interesting heterocycle formed by the hydrazinolysis of compounds containing a thiourea fragment. Outside of purely academic interests it is also used as a reagent for the detection of aldehydes in the very appropriately named Purpald Assay. As one might guess from the name, this reagent makes aldehydes go purple.

Initially, I have wanted to synthesize this heterocycle to do further chemistry with, to use as a counterion for a tetrachlorocuprate, violurate and to use it as a ligand. However, the compound has ended up too unstable for that, rather quickly degrading to a brown sticky mass in storage and forming a foul smelling grey mass even under gentle conditions on reaction with violuric acid. So instead I have used up the litle amounts I got from this reaction trying to demonstrate the characteristic aldehyde reaction and trying to isolate the purple condensation product.

The following procedure is adapted from a 1974 paper from Dickinson and Jacobsen
Purpald is synthesized by refluxing thiourea-containing compounds (in this case just thiourea) in hydrazine hydrate for 3 hours right below boiling point.
In a flat bottom flask equipped with a reflux condenser fitted with a hose leading outside, 3.8 grams of thiourea were dissolved in 10 grams of hydrazine hydrate and the solution was heated in a water bath for three hours. However as this synthesis was carried out during a power shortage, the reaction time had to be cut short to 2.5 hours which has most likely severely affected my yields. During the reaction a decent amount of H2S is evolved, which was led outside using a hose (which I very much do not recommend, for your and everyone else’s sake please carry out a reaction like this in a fumehood or outside). The resulting solution was then chilled and a greenish precipitate of the triazole and elemental sulfur was collected from the bright yellow solution.

This precipitate was then digested in 37.5 ml of a 2M solution of hydrochloric acid, with the triazole solution being filtered off and the insoluble impurities discarded.
This solution was neutralized to pH 6.5 with NaOH solution and a precipitate of freebase cream-colored triazole was collected after cooling down the flask and weighted.

The result was 1.39 grams of an offwhite product. Which constitutes a 19% yield. A shame upon me and my whole bloodline, but we persevere.

The purpald assay involves an aldehyde (preferably simple like formaldehyde) an oxidizer and purpald. Usually this involves bubbling air or oxygen through the solution and seeing how purple the resulting solution turns.

Futile attempts were made at using the resulting compound for further chemistry. Copper salts reacted with the purpald to form an uninteresting brown compound and trying to react it in cold water with violuric acid has resulted in a sulfur-smelling grey mess.
On storage the purpald seems to have reacted with the oxygen and formed a brown tarry product. Which made me very sad and that’s about when my experimentation with it ended.